Dans cette fiche explicative, nous voulons remplacer le côté droit de cette équation par un nombre complexe général 𝑧 et déterminer les racines d'un nombre complexe arbitraire. Commençons par un exemple où nous calculerons la racine carrée d'un nombre complexe en utilisant des méthodes algébriques.. À propos de ce chapitre. Qu'est-ce qu'un nombre complexe ? Comment calculer la somme, la différence et le produit de deux nombres complexes.

Racine nième d'un nombre complexe Exemple YouTube

Racine carrée d'un nombre complexe Résoudre cette équation YouTube

Nombres complexes partie 2 racines carrées, équations du second degré YouTube

Équations du Second Degré dans C Racine Carrée d'un Nombre Complexe 2 Bac SM [exercice 15

Racines carrés d'un nombre complexe non nul YouTube

Racine carrée du nombre complexe 3 4i YouTube

Dérivation 6 nombre dérivé racine carrée en 3 YouTube

Déterminer la racine carrée d'un nombre complexe YouTube

comment trouver la racine carré d'un nombre

calculer la racine carré d’un nombre comment calculer une racine carrée Schleun

Calculer la Racine Carrée d'un Nombre

Racines nième d'un nombre complexe Définition YouTube

Expression conjuguée d'un nombre complexe YouTube

Définition de la racine carrée et calculs simples Exercices AlloSchool
complexes racine carrée de i , racine cubique de i + rés de cours

Racines nièmes d’un nombre complexe YouTube

Maths Nombres Complexes SYMPHRONIA

Racine carrée ( partie 1 ) rappel de cours et exercices d'application 3eme YouTube

Racines nième d'un nombre complexe Introduction Terminale YouTube

Les nombres complexes Méthode de détermination des racines carrées d'un nombre complexe
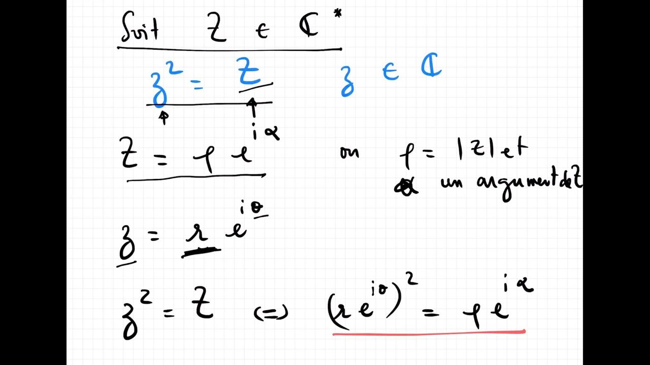
définition : Pour \(z\in\Bbb C\), une racine carrée est \(\omega\in\Bbb C\) tel que \(\omega^2=z\) Proposition : Si \(z\in\Bbb C\), alors \(z\) admet deux racines.. https://www.educative.frSur simple demande, nous vous offrons un mois d'abonnement https://www.educative.fr/Tous vos cours par de vrais profs !Racine carrée.